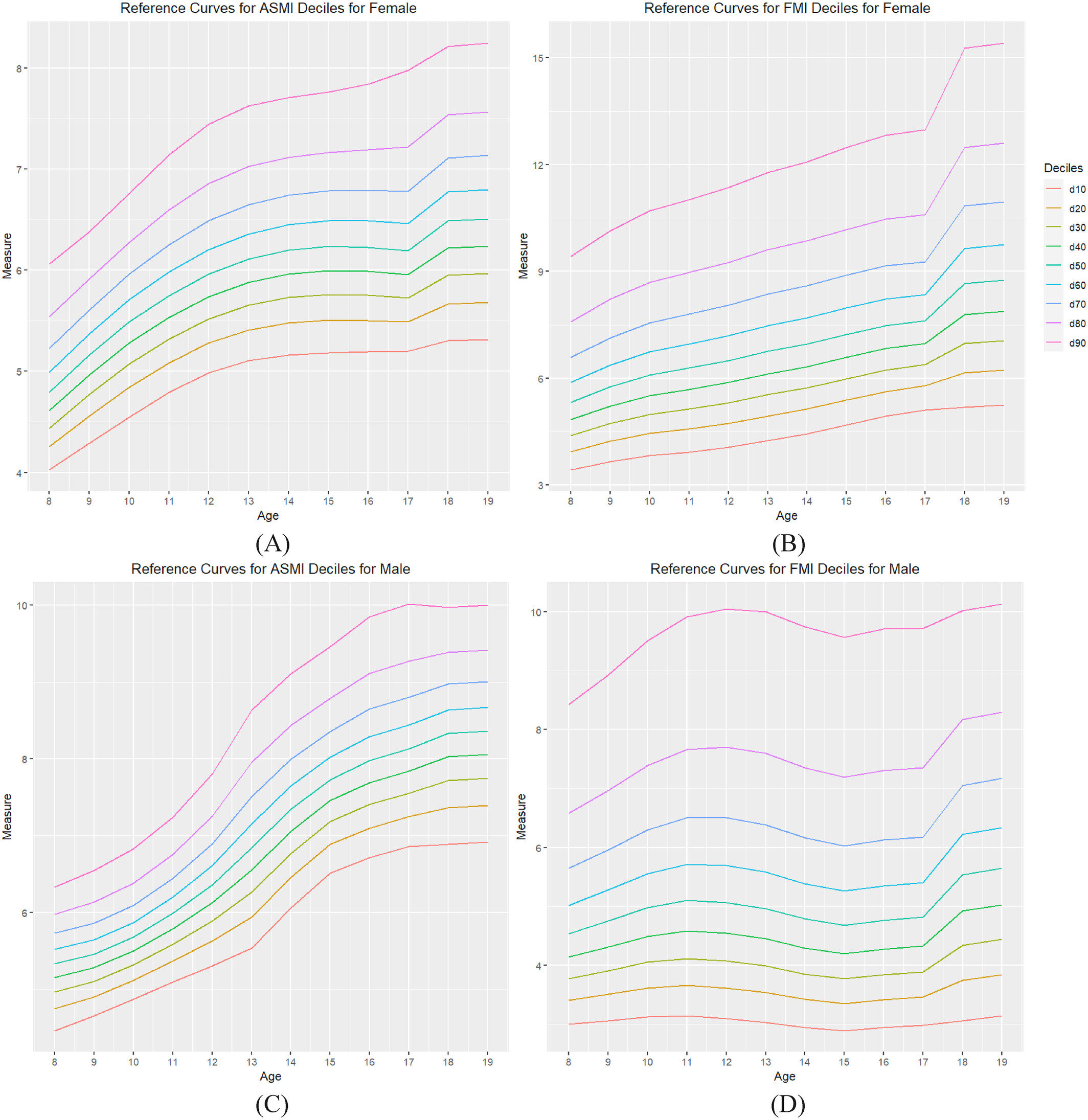
Un echipaj de cercetare condus de Concordia a creat una dintre primele tabele de referință care arată cum se schimbă nivelurile de grăsime și mușchi ale copiilor odată cu vârsta și sexul – o descoperire care ar putea ajuta la identificarea tinerilor cu risc de boli de inimă și metabolice în viitor.
Spre deosebire de indicele de masă corporală (BMI) familiar, care nu distinge grăsimea de mușchi, acest studiu a examinat atât datele de masă adiposă, cât și de masă musculară din scanările cu absorbție de raze X cu energie duală (DXA) ale peste 6.000 de copii din SUA. Echipa a dezvoltat apoi noi curbe de creștere pentru grăsime și mușchi și le-a aplicat unui grup de copii din Quebec urmăriți de la vârsta de 8 la 17 ani.
Folosind aceste date, cercetătorii au definit patru tipuri de compoziție corporală: puțină grăsime – mult mușchi (LA-HM), multă grăsime – mult mușchi (HA-HM), puțină grăsime – puțin mușchi (LA-LM) și multă grăsime – puțin mușchi (HA-LM).
Ultimul grup, HA-LM, a fost identificat ca având cel mai mare risc de obezitate sarcopenică, o condiție care face mai dificilă mișcarea, menținerea activității sau sănătatea pe măsură ce oamenii îmbătrânesc. Copiii cu multă grăsime, indiferent de nivelul de mușchi, aveau tendința de a avea colesterol „bun” mai mic, trigliceride mai mari și rezistență mai mare la insulină – toate semne timpurii de avertizare pentru boala cardiovasculară.
Lucrarea este publicată în jurnalul Pediatric Obesity.
Acest studiu este primul care construiește grafice de referință pentru grăsime și mușchi specifice pentru vârstă și sex pentru tineri, reducând un decalaj major între evaluările de la copii și adulți. Trecând dincolo de BMI, această abordare oferă o imagine mai clară a sănătății și dezvoltării copiilor.
Cercetătorii speră că aceste constatări vor duce la instrumente de screening mai bune, permițând medicilor să detecteze mai devreme copiii cu risc și să adapteze intervențiile mai precis pentru a ajuta la prevenirea bolilor cronice înainte de a se instala.
Mai multe informații: Stephanie Tanasia Saputra et al, Dezvoltarea și Aplicarea Curbelor de Referință pentru Masă Adiposă și Masă Musculară Specifice pentru Sex și Vârstă ale Copiilor din Datele de Absorbție de Raze X cu Energii Duale pentru a Prezice Riscul Cardiometabolic, Pediatric Obesity (2025). DOI: 10.1111/ijpo.70051

Editor RevistaSanatatii.ro. Isi doreste ca activitatea lui sa aduca speranta milioanelor de oameni bolnavi din Romania, sa le aline suferintele si sa le ofere speranta.








